
Interlocutor’s Impact on Chinese EFL Learners’ Communication Strategy Application
Bingjun Zhang, University of Birmingham, Birmingham, United Kingdom
Background
Second language learners tend to frequently employ communication strategies (CSs) to overcome communicative challenges resulting from their limited linguistic proficiency. Originally known as mutual attempts by interlocutors to establish meaning in situations where shared linguistic structures are lacking (Tarone, 1980), CSs involve both speakers and listeners striving to reach an agreement despite language barriers. CSs also bridge the gap between a learner’s knowledge of the target language and that of their conversation partner, facilitating continued interaction. In the context of this study, CSs refer to techniques employed by Chinese English learners to address and overcome communicative challenges due to limited linguistic proficiency. These strategies involve efforts by both speakers and listeners to convey and comprehend messages effectively, despite language barriers.
Factors influencing learners’ use of CSs may include proficiency level, native language influence, personality, interlocutor dynamics, and many others. Existing studies have shown that interlocutor dynamics significantly impact CS usage, yet research on this aspect, particularly in the context of Chinese learners, is sparse. Therefore, my research focuses on the interlocutor’s role, particularly in English-speaking classroom discussions, to understand how Chinese English learners use CSs when interacting with different interlocutors. This focus is also driven by my interest in how the characteristics and behaviours of different interlocutors influence Chinese learners' CS choices, as learners seek to maximise limited linguistic resources to maintain communication, stimulating various CSs.
Drawing on my previous experience as an English language teacher, I have gained insight into the specific challenges faced by Chinese English learners, such as difficulty in spontaneous speaking and limited exposure to authentic conversational contexts. These challenges often lead to reliance on rote learning and memorisation rather than effective communication. I hope to identify their unmet needs in domestic environments and draw on study-abroad experiences from English-speaking countries to address these issues. By uncovering CS frequency and preferences and exploring differences in communication with Chinese and non-Chinese interlocutors (CIs and NCIs), this study aims to propose pedagogical implications that can improve Chinese English learners’ communication skills and more effectively prepare them for real-world interactions.
Methods
This study employed a mixed-methods research design, combining both qualitative and quantitative approaches to explore the use of CSs among Chinese learners in classroom settings. Data were generated through classroom discussion observations and questionnaires to capture both the interactional patterns and participants’ self-reported experiences. The participants were students pursuing their master’s degrees at UK universities, with English proficiency levels ranging from 6 to 7.5 on the IELTS scale. Over the course of one semester, 45 participants were randomly assigned to 15 classroom discussion triads. Each triad consisted of two Chinese participants and one non-Chinese participant. Within these groups, each Chinese participant interacted with both a CI and a NCI in their triad. Interactional data were collected through audio recordings of classroom discussions among learners. These recordings were transcribed and annotated using the CS taxonomy developed by Dörnyei and Scott (1997), which was further expanded with the addition of five new CS categories summarised in my study (highlighted in bold in Table 1). This taxonomy integrates a comprehensive range of strategy types from prior research, encompassing a total of 33 CS types and their variations (refer to Table 1).
Additionally, data were elicited through Nakatani’s (2006) Oral Communication Strategy Inventory (OCSI) questionnaire, which includes 15 strategy types for speaking and listening problems during communication (see Table 2). In the OCSI, each strategy type corresponds to different questions, which were answered on a structured self-report scale ranging from 1 to 5, akin to Likert scales. Participants self-evaluated their performance in conversations with CIs and NCIs based on statements ranging from “Never or almost never true of me” to “Always or almost always true of me” (Nakatani, 2010, p. 133). The average score for each CS type in both interlocutor groups was calculated and compared using paired sample t-tests to examine differences.
Table 1. Expanded CS Taxonomy Based on Dörnyei and Scott (1997)
|
Direct Strategies |
Interactional Strategies |
Indirect Strategies |
|
Resource deficit-related strategies • Message abandonment • Message reduction • Message replacement • Circumlocution • Approximation • Use of all-purpose words • Restructuring • Literal translation • Code switching • Use of similar sounding words • Mumbling • Omission • Retrieval Own-performance problem-related strategies • Self-rephrasing • Self-repair - Self-denial or apology (before self-repair) |
Own-performance problem-related strategies • Comprehension check • Own-accuracy check • Recall • Request for information Other-performance problem-related strategies • Asking for clarification • Asking for confirmation • Interpretive summary • Responses - Confirm - Expand - Reject - Repeat |
Processing time pressure-related strategies • Use of fillers • Repetitions - Self-repetition - Other-repetition • Self-confirmation Own-performance problem-related strategies • Verbal strategy markers • Closing mark |
Table 2. Oral Communication Strategy Inventory (OCSI) (Nakatani, 2006)
|
CS for speaking issues |
CS for listening issues |
|
A: social affective strategies B: fluency-oriented strategies C: negotiation for meaning while speaking D: accuracy-oriented strategies E: message reduction and alteration strategies F: nonverbal strategies while speaking G: message abandonment strategies H: attempt to think in English strategies |
I: negotiation for meaning while listening J: fluency-maintaining strategies K: scanning strategies L: getting the gist strategies M: nonverbal strategies while listening N: less active listener strategies O: word-oriented strategies |
Finding #1: Frequency and Preferences of CS Use
The top eight strategy types used by Chinese participants in the study are presented below, with all showing a higher frequency of use in the NCI condition (see Figure 1). Discussions among learners revealed that strategies, such as restructuring, self-confirmation, self-repetition, verbal strategy markers, and use of all-purpose words, were more prevalent in the NCI group. Essentially, the NCI condition stimulated greater use of strategies related to learners’ own performance problems and resource deficits (see Dornyei & Scott, 1997 for details).
Figure 1. CS Frequency Ranking

Below presents examples of the three high-frequency types of CSs observed in the participants’ interactions. Each strategy category is exemplified by one transcript and its accompanying explanation (see Table 3). The following examples illustrate how participants employed various CSs to overcome linguistic challenges and effectively convey their intended messages during interactions.
Table 3. Examples of Three High-Frequency CS Types
|
Types of CS |
Exemplary Transcript |
|
Restructuring |
Yeah, (.) but I think for the case of China, because (.) uh, in China everyone has to learn English. But we do not have enough teacher↑ that they can, (.) uh, their English level↑ can reach the required level to communicate with students in English. |
|
Verbal strategy markers |
And (.) also, I think it is also important to help students to shift(change) this kind of, (.) emm:: kind of ideas or kind of (.) I don’t know uh:: the right word to express that↑, to let the students know that… |
|
Self-repetition |
Yes, they, is uh:: yes, they, (.) because in:: (.) some of the cities, we don’t have (.) the:: listening test. >We don’t have the listening test< (.) to enter the college↓. |
Note. The transcription notations used above follow Jefferson (2004).[1]
Finding #2: Differences of CS Use in CI and NCI Groups
The presentation and analysis of classroom discussion data above provide qualitative insights into participants’ actual discussion behaviours. As mentioned, quantitative results from the OCSI were gathered for learners’ self-reports on their strategy use.
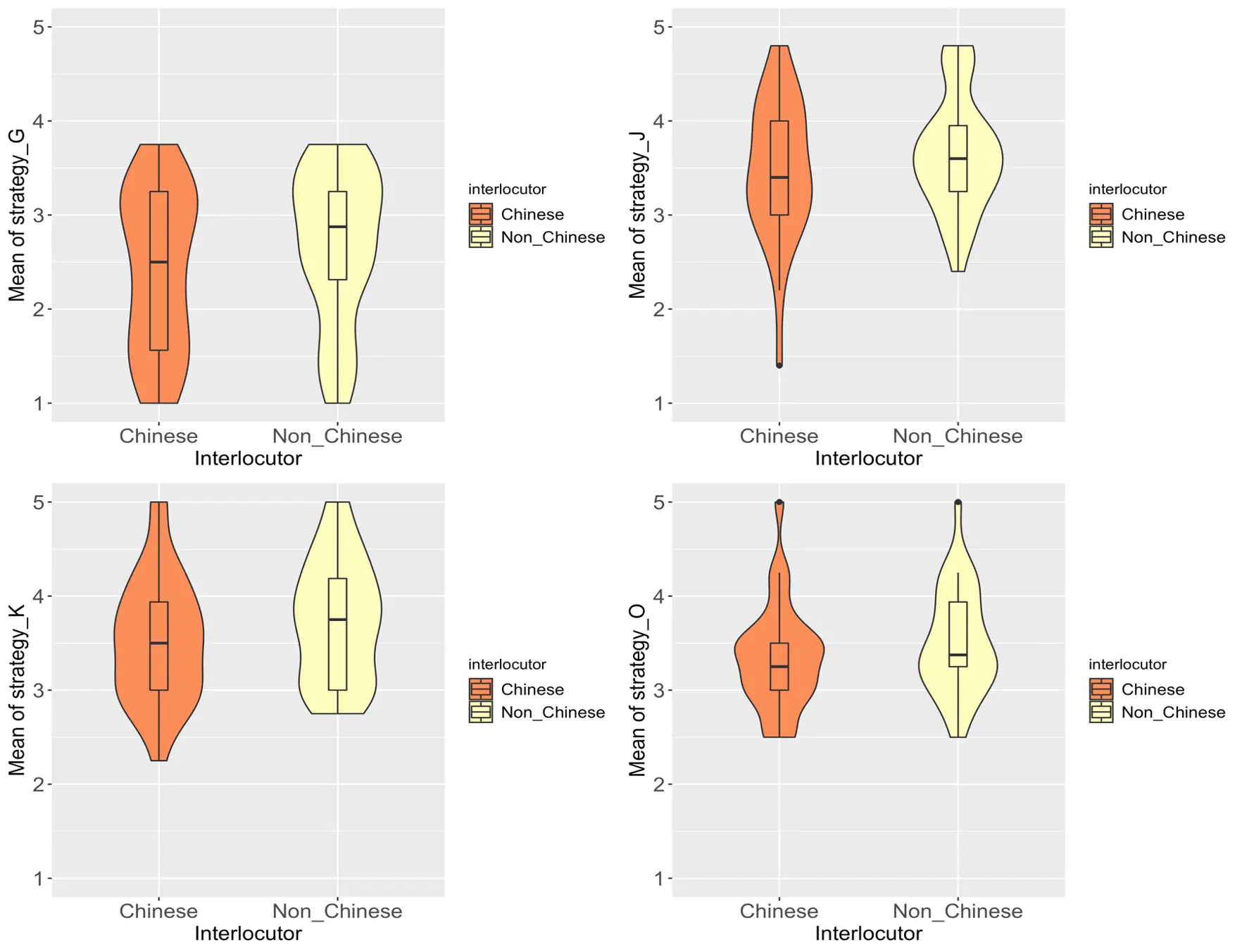
T-test results revealed significant differences in several communication strategies between the CI and NCI groups. Specifically, the message abandonment strategy (G), fluency-maintaining strategy (J), scanning strategy (K), and word-oriented strategy (O) showed statistically significant variation across the two interlocutor conditions.
The distribution and density patterns depicted in the plots differed notably between the two interlocutor conditions (see Figure 2). Specifically, learners in the NCI group exhibited increased employment of message abandonment strategies, along with higher frequencies of fluency-maintaining, scanning, and word-oriented strategies.
The differences in strategy use can be attributed to the distinct communicative challenges posed by CIs and NCIs. In the NCI group, Chinese learners exhibited a heightened tendency towards reduction of expression, opting to withdraw from the discourse rather than persisting with difficult interactions. This strategic choice reflects a pragmatic response to perceived language barriers, aiming to maintain conversational flow despite comprehension difficulties.
Furthermore, learners in the NCI condition demonstrated a strategic focus on specific segments of the speaker’s utterance. This selective attention aimed to interpret the intended meaning when they could not fully comprehend the message, highlighting Chinese learners’ adaptive responses to comprehension challenges. These findings underscore the different ways in which interlocutor dynamics influence learners’ CSs, shaping their approach to managing interactional problems in the target language discussion settings.
Figure 2. Strategies Showing Significant Differences in Two Interlocutor Groups

Discussions and Implications
In short, participants actively engaged and endeavoured to resolve communicative challenges rather than avoiding them in the actual classroom discussions, and they applied a range of strategies to address these challenges and sustain the conversation. However, self-report questionnaires revealed a tendency to abandon messages when faced with difficulty or lacking confidence in listening comprehension. This suggests that participants demonstrate greater proactive problem-solving during real discussions than they perceive in themselves. Recognising their courage in immersive English-speaking contexts is thus essential to repairing misconceptions.
Additionally, this research suggests pedagogical implications for teaching CSs in Chinese L2 classrooms and highlights the need for further exploration of its potential relevance in other contexts within the TESOL community. Early debates questioned the necessity of CS instruction, assuming learners naturally acquire these skills. However, later studies highlight the benefits of direct CS teaching, suggesting it fosters learner autonomy and effectiveness in real-life situations. For Chinese learners, recorded data of interactions with CIs and NCIs can serve as a resource for CS training, allowing learners to observe and apply successful strategies.
Teaching CSs in L2 classrooms may enhance students’ oral communication skills, especially for those at lower levels, by potentially boosting their confidence and encouraging more effective use of limited linguistic resources. Advanced learners also benefit from refining their existing strategies and learning to handle complex communication issues. Interactional CSs are particularly beneficial as they promote mutual learning and support during conversations. For teachers, incorporating CS instruction can improve students’ fluency and self-awareness in their L2 performance, fostering continuous language development. Providing opportunities for practising CSs in authentic scenarios, such as collaborative exercises, enhances strategy awareness.
Moreover, while this study is localised to Chinese learners, its findings might be valuable to TESOL practitioners globally. Readers may also consider replicating this study in their own contexts to investigate its efficacy, as understanding how different cultural and linguistic backgrounds affect CS use can help educators tailor their teaching methods to diverse student populations, ultimately improving communication skills worldwide.
References
Dörnyei, Z., & Scott, M. L. (1997). Communication strategies in a second language: Definitions and taxonomies. Language Learning, 47(1), 173–210. https://doi.org/10.1111/0023-8333.51997005
Jefferson, G. (2004). Glossary of transcript symbols with an introduction. In G. H. Lerner (Ed.), Conversation analysis: Studies from the first generation (pp. 13–31). John Benjamins. https://doi.org/10.1075/pbns.125.02jef
Nakatani, Y. (2006). Developing an oral communication strategy inventory. The Modern Language Journal, 90(2), 151–168. https://doi.org/10.1111/j.1540-4781.2006.00390.x
Nakatani, Y. (2010). Identifying strategies that facilitate EFL learners’ oral communication: A classroom study using multiple data collection procedures. The Modern Language Journal, 94(1), 116–136. https://doi.org/10.1111/j.1540-4781.2009.00987.x
Tarone, E. (1980). Communication strategies, foreigner talk, and repair in interlanguage. Language Learning, 30(2), 417–431. https://doi.org/10.1111/j.1467-1770.1980.tb00326.x
Bingjun Zhang holds a PhD in English Language and Linguistics from the University of Birmingham and an MA in Education from University College London. With extensive experience as an English language teacher and academic researcher, Bingjun is also a skilled data analyst. Her expertise lies in applied linguistics, language education, and data analysis, making her a highly experienced researcher in the field of English language and linguistics.
[1] 1. Restructuring: Participants employ restructuring when they encounter difficulty related to the current sentence structure. They abruptly stop their message, leaving it unfinished, and promptly adjust the grammatical form to effectively convey their intended meaning. For instance, a participant may leave a sentence incomplete, then introduce a new subject and begin a new sentence to restructure their message.
2. Verbal Strategy Markers: Learners use verbal marking phrases to indicate that a word or structure in the L2 (second language) code does not precisely convey the intended meaning. These markers include circumlocutions (“I’m not sure what it’s called in English”), approximations (“some kind of...”), and literal translations (“we call them...”). Participants often use these markers to acknowledge their language inaccuracies before proceeding with their expression.
3. Self-Repetition: This strategy involves repeating a string of words to buy time and maintain the conversation’s flow. By reiterating a phrase, speakers can create a smoother transition and facilitate continuity in dialogue. For example, a participant may repeat a statement such as “We don’t have the listening test,” with the second repetition being more flowing, allowing them to seamlessly continue the conversation.
